Class 10 Maths Chapter 2 Worksheet – For another subject worksheet you can. Get free class 10 maths ncert solutions chapter 2 polynomials pdf. Download free pdf with solutions curated by our experts to practice and prepare yourself for upcoming examination. The ncert solutions class 10 maths chapter 2 polynomials kids will be introduced to the geometrical meaning of zeros of a polynomial, the relationship between zeros and.
Rd sharma solutions for class 10 maths chapter 2 polynomials provides the knowledge of geometric representation, the relationship between the zeros and coefficients of. Polynomials are fundamental mathematical expressions that appear in various fields, including algebra, calculus, and. Identify polynomials as constant, linear, quadratic, cubic,. Extra questions for class 10 maths chapter 2 polynomials.
Class 10 Maths Chapter 2 Worksheet
Class 10 Maths Chapter 2 Worksheet
Learn how to determine the degree of a polynomial based on the highest power of the variable term. All worksheets have been carefully compiled for all. Cbse class 10 maths worksheet chapter 2 polynomials | understand main concepts, their definition, examples and applications.
These important questions with solutions for chapter 2 polynomials have been prepared by expert teachers for class 10 mathematics based on the expected. Polynomials class 10 maths ex 2.1, ex 2.2, ex 2.3, and ex 2.4 ncert solutions are. Chapter 2 polynomials worksheet for class 10.
These cbse board class 10 maths worksheets consist of all types of questions required to understand the concepts of class 10 maths. Printable free worksheets of cbse class 10 mathematics are developed by school teachers at studiestoday.com. Polynomials very short answer type questions q1.

RD Sharma Class 10 Solutions Maths Chapter 2 Polynomials Exercise 2.1

Ncert Solution For 10 Class Math Chapter 2 Polynomials

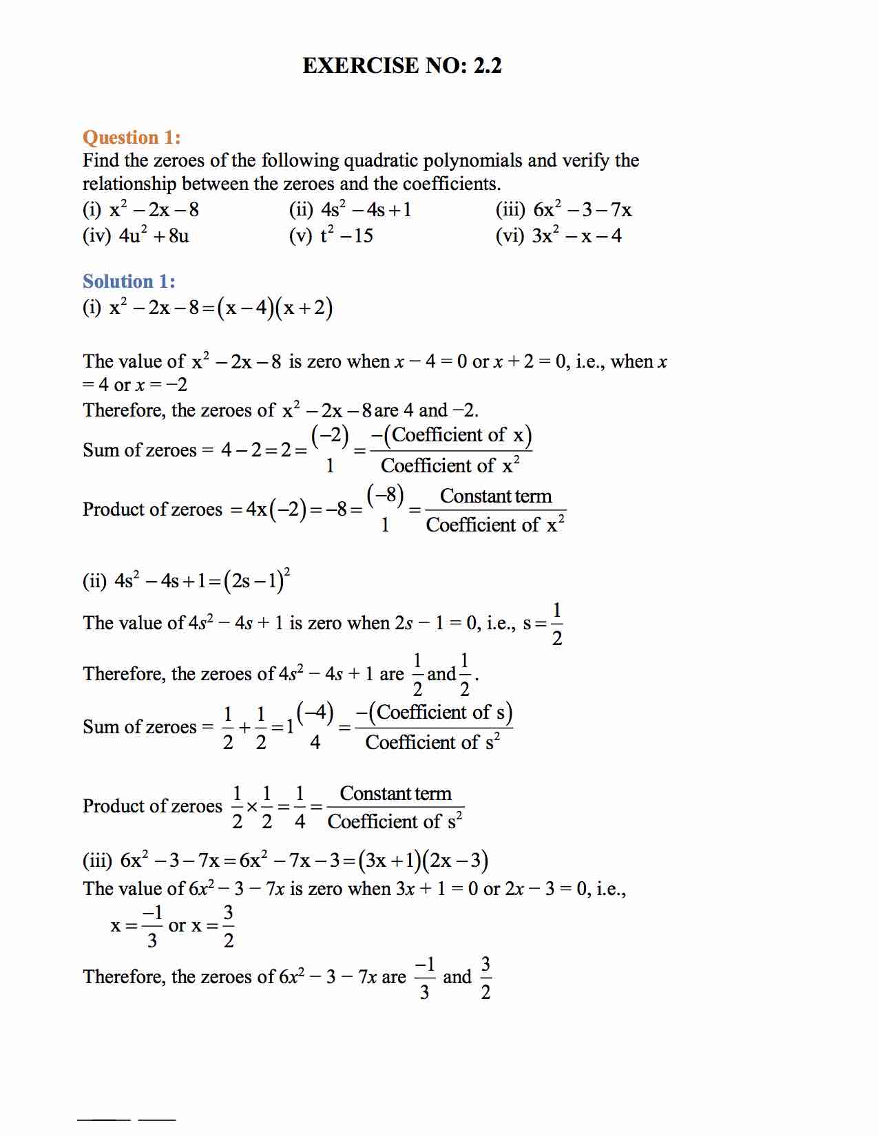
NCERT Solutions for Class 10 Maths Chapter 2 Exercise 2.2 Access PDF

ncert solutions for class 10 maths chapter 2 exercise 22 in pdf form

NCERT Solutions for Class 10 Maths Chapter 2 Exercise 2.2 Access PDF

Maths Worksheet For Class 10th Cbse Class 10 Maths Wo vrogue.co
CBSE Class 10 Maths Worksheet Polynomials (5) Polynomial

NCERT Solutions for Class 10 Maths Chapter 2 Polynomials Exercise 2.2

NCERT Solutions for Class 10 Maths Chapter 2 Exercise 2.2 in PDF form
Mcq Questions For Class 10 Maths Chapter 2 Polynomials With Answers
